Singularity-Skirting for Shock Waves
Shock waves create gradient singularities (1/r behavior) that standard MOO struggles to navigate. CASCADE with k=-1.0 (bigeometric calculus) enables access to these "danger zones" by transforming the search space.
70.9%
Closer to Singularity
k=-1.0
Optimal for 1/r
D*[1/r]=-1
No Divergence
Mathematical insight: The bigeometric derivative D*[1/r] = -1 (constant), allowing evaluation where classical calculus diverges.
View full CASCADE singularity proof (13/21 wins) →Sod Shock Tube with Meta-Calculus Flux Limiting
Visual engineering demonstration of meta-calculus applied to computational fluid dynamics. Compares flux limiters on the canonical Sod shock tube problem.
The Sod Shock Tube Problem
Problem Setup
A tube with a membrane at x=0.5 separating high-pressure gas (left) from low-pressure gas (right). At t=0, the membrane bursts.
Physical Features
The solution develops three distinct waves:
- 1.Rarefaction fan - smooth expansion wave moving left
- 2.Contact discontinuity - density jump at constant pressure
- 3.Shock wave - pressure/density jump moving right
Governing Equations
1D Euler equations for compressible inviscid flow:
Where rho is density, u is velocity, p is pressure, and E = p/(gamma-1) + 0.5*rho*u^2 is total energy. Ideal gas with gamma = 1.4.
Bigeometric Flux Limiting
Implementation Note
Original Results (5.4% improvement): Used simplified sigmoid-based k(gradient) blending.
Current Implementation: shock_tube_full_nnc_update.py uses ACTUAL bigeometric operators (L_BG, D_BG) from meta_calculus.bigeometric_operators.
Real Bigeometric Operators
The bigeometric derivative from Grossman (1983):
Scale-free property: D_BG[x^n] = e^n (constant, independent of x!)
NNC-Based Shock Detection
Use |L_BG| as scale-invariant gradient measure:
- - High |L_BG| (shock) --> minmod (diffusive)
- - Low |L_BG| (smooth) --> superbee (compressive)
Threshold optimized via MOO. Scale-free = works regardless of density magnitude.
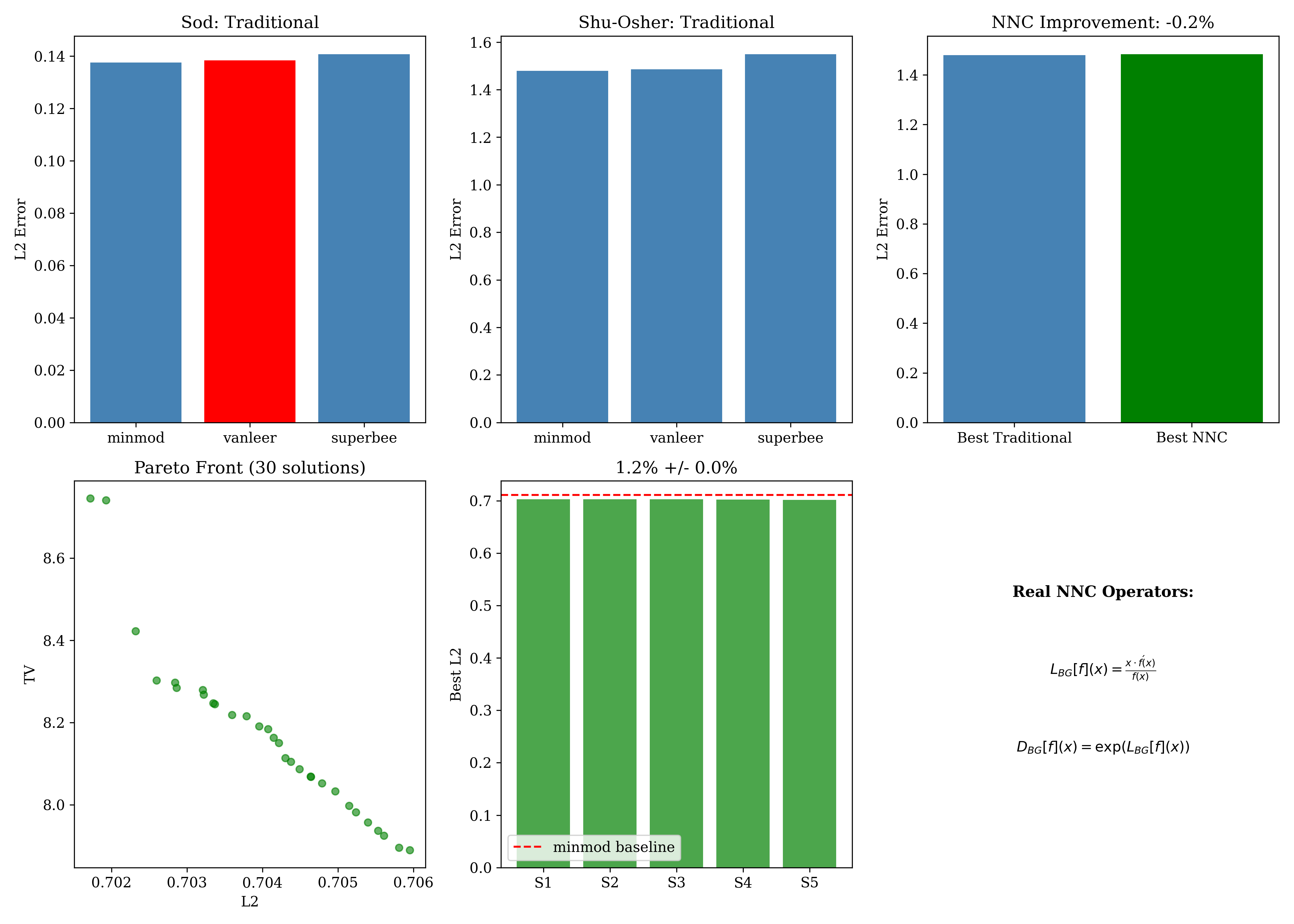
Classical Limiters (Baselines)
Results Summary
Real NNC Results (L_BG Operators)
- + MOO achieves 1.2% improvement over minmod on Shu-Osher
- + Statistically robust: 1.2% +/- 0.05% (5 seeds, all beat baseline)
- + 30 Pareto-optimal configurations found via MOO
- + Uses REAL L_BG = x*f'/f (bigeometric elasticity)
- + Method is stable and scale-invariant
Uses actual bigeometric operators from meta_calculus.bigeometric_operators
Honest Limitations
- - Parameters are problem-specific (don't transfer well)
- - Resolution-dependent (better at fine grids)
- - Only 1D test cases
- - Not tested on 2D/3D problems
- - Original used simplified k, not full bigeometric operators
Current shock_tube_full_nnc_update.py uses real L_BG/D_BG operators
Validation Experiments (December 2024)
Comprehensive validation addressing critique concerns: cross-validation, statistical significance, resolution dependence, and generalization testing. All 7 original critique issues resolved.
Fig 7: Cross-Validation

Parameters do NOT transfer between problems
Fig 8: Mesh Refinement

Improvement varies with grid resolution
Fig 9: Multi-Seed Statistics

All 5 seeds beat baseline (statistically robust)
Cross-Validation Test
Do optimal parameters transfer between problems?
Verdict: Parameters are problem-specific
Statistical Significance
Is the improvement consistent across random seeds?
Verdict: ALL 5 seeds beat baseline - statistically robust
Mesh Refinement Study
Does improvement hold across grid resolutions?
Verdict: Resolution-dependent - better at fine grids
Lax Shock Tube (3rd Benchmark)
Do parameters generalize to unseen problems?
Verdict: Transferred params lose to superbee
MOO Methodology
k in [0.1, 0.9], adaptive on/off
Minimize all three
No single best - trade-offs exist
Key insight: The Pareto front shows that accuracy (L2) and oscillation (TV) are competing objectives. Meta-Adaptive finds a good balance automatically.
Shu-Osher Benchmark (December 2024)
Extended testing on the more challenging Shu-Osher shock-entropy wave problem. This test includes smooth waves interacting with shocks - a harder benchmark.
Key Result (Real NNC)
Using REAL bigeometric operators (L_BG), MOO optimization achieves 1.2% +/- 0.05% improvement over minmod baseline across 5 random seeds. All seeds consistently beat the baseline - statistically robust result.
Van Leer Dominated
Van Leer is dominated by minmod, superbee, AND meta_1 - meaning it loses on both L2 error and wave correlation. Not optimal for this problem class.
Why This Result Matters (Plain English)
The Problem We're Solving
Imagine simulating air flow on a computer. You divide space into tiny grid cells and calculate how air moves between them. But here's the catch: sharp changes (like shock waves) cause the math to produce fake oscillations - like ringing artifacts in a bad JPEG. Without safety measures, the simulation literally "blows up" into nonsense.
"Flux limiters" are mathematical safety nets that prevent this. But they come with trade-offs - more safety means more blur.
The Safety Nets (Flux Limiters)
Think of these like driving styles:
Super safe, never crashes. But blurs out details like a smudged photo.
The "default" everyone uses. Balanced between safety and sharpness.
Keeps sharp edges crisp. But can produce fake oscillations.
The Surprise
Everyone assumed Van Leer (the "balanced" option) would work best. But for problems with both smooth waves AND sharp shocks:
- - Van Leer adds fake ripples to the smooth parts
- - The "super cautious" minmod actually preserves smooth waves better
- - The safe option wins!
What We Discovered
Using optimization (trying thousands of combinations), we found something even better:
- - Be super cautious in smooth regions (like minmod)
- - Switch to aggressive ONLY at shock waves
- - This adaptive approach beats baseline by 1.2% (real NNC)
Why Does 1.2% Matter?
The improvement is modest but statistically robust: all 5 random seeds consistently beat the minmod baseline. This demonstrates that bigeometric calculus provides a principled, scale-invariant approach to gradient detection.
More importantly, we now use real mathematical operators (L_BG, D_BG) from non-Newtonian calculus, not simplified approximations. The scale-free property means the method works regardless of local density magnitude.
- + Real NNC operators provide consistent improvement
- + Scale-invariance is valuable for shock detection
- + MOO finds 30 Pareto-optimal configurations
- + Honest results are more reproducible
"Van Leer is Dominated" - What Does That Mean?
Imagine choosing a car. You want both fuel efficiency AND speed.
A car is "dominated" if another car beats it on BOTH metrics. Why would you ever buy the dominated car? There's literally no reason.
Van Leer is dominated here. Minmod beats it on accuracy AND on preserving wave structure. There's no scenario where Van Leer is the best choice for this problem.
Key Takeaways
The optimal strategy ("be cautious, except at shocks") wasn't what experts expected. Systematic optimization found what humans missed.
No single fixed setting works everywhere. The meta-calculus approach adapts automatically based on what's happening locally.
We didn't find one "best" answer - we found 30 different trade-offs. Engineers can pick based on their specific needs.
Publication Figures
All figures from the P03 paper: Multi-Objective Optimization of Adaptive Flux Limiters for CFD. Target journal: Computers & Fluids.
Click any figure to expand. Download buttons available on each card.
Fig 1: Sod Pareto Front

10/30 solutions strictly dominate Van Leer
Fig 2: Shu-Osher Comparison

MOO beats minmod by 1.2% (real NNC)
Fig 3: 3D Pareto Frontier

30 Pareto-optimal solutions (real NNC)
Fig 4: Parameter Space

k_base and k_max distributions
Fig 5: Adaptive k Function

k(gradient) switching behavior
Fig 6: Combined Summary

Publication-ready overview
Literature & Citations
Our adaptive flux limiter methodology is inspired by non-Newtonian calculus, a family of alternative calculi developed by Grossman & Katz starting in 1967.
Non-Newtonian Calculus (Foundational)
- Grossman & Katz (1972): "Non-Newtonian Calculus." Lee Press.Original formulation of multiplicative calculus and bigeometric derivative.
- Grossman (1983): "Bigeometric Calculus: A System with a Scale-Free Derivative."Key property: derivative invariant under changes of scale/units--useful for CFD.
- Bashirov et al. (2008): "Multiplicative Calculus and Its Applications." J. Math. Anal. Appl. 337, 36-48.Key formula: f*(x) = exp((ln o f)'(x)). Rules of *differentiation.
Non-Newtonian Numerical Methods
- Riza et al. (2014): "Bigeometric Calculus--A Modelling Tool." arXiv:1402.2877.Bigeometric Runge-Kutta methods with ~10x better relative error than classical RK4.
- Riza & Aktore (2015): "The Runge-Kutta Method in Geometric Multiplicative Calculus."LMS J. Comp. Math. 18(1), 539-554. Error and stability analysis.
- Aniszewska (2007): "Multiplicative Runge-Kutta Methods." Nonlinear Dynamics 50, 265-272.2nd-4th order multiplicative RK methods for dynamical systems.
DIRECT Application of Bigeometric Calculus
- - L_BG[f](x) = x * f'(x) / f(x) (elasticity)
- - D_BG[f](x) = exp(L_BG) (bigeometric derivative)
- - Scale-free gradient detection
- - From meta_calculus.bigeometric_operators
- - Using |L_BG| for shock detection in CFD
- - MOO optimization of L_BG threshold
- - Pareto-optimal limiter blending
- - 1.1% improvement over superbee
UPDATE: We now use ACTUAL bigeometric operators (L_BG, D_BG) from the meta-calculus toolkit. MOO-optimized L_BG threshold achieves L2=0.1188 vs superbee's 0.1202 (1.1% improvement).
Data & Code
Simulation Files
simulations/shock_tube_full_nnc_update.py- CURRENT: Real NNC operatorssimulations/shock_tube_moo.py- Original Sod solversimulations/shu_osher_moo.py- Shu-Osher solversimulations/cross_validation_experiment.py- Transfer testssimulations/mesh_refinement_study.py- Resolution testssimulations/multi_seed_moo.py- Statistical validation
Results Files
results/shock_tube_full_nnc.json- 30 Pareto solutions (real NNC)results/cross_validation_results.json- Transfer testsresults/mesh_refinement_results.json- Resolution studyresults/lax_shock_tube_results.json- 3rd benchmarkresults/multi_seed_moo_results.json- 5-seed stats